Menurutnya kerajaan juga akan memperluaskan liputan perlindungan sosial negara dengan nilai caruman 80 peratus dan meluaskan manfaatnya kepada sembilan kategori pekerja sendiri baharu antaranya petani nelayan penjaja artis ejen pelancongan dan petugas pemulihan dalam komuniti. Kadar caruman bagi eis dari perkeso adalah campuran 02 syer pekerja dan 02 syer majikan daripada gaji bulanan pekerja.
Jun 16 2021 contoh membuat payslip slip gaji salary slip kumpulan surat.

Nilai caruman perkeso. Encik Fuad bin Alias fuadalias perkesogovmy Tel. Job Specializations Manufacturing Manufacturing. Anda boleh membuat bayaran menggunakan kaedah seperti berikut.
Gaji bulanan sebanyak RM 5000 atau ke bawah. ü Menghayati nilai-nilai murni di kalangan kakitangan PERKESO. Pembayaran Yang Mendapat Pelepasan Caruman Daripada PERKESO.
06 - 766 9000 Fax. Pembayaran caruman hendaklah dibuat selewat-lewatnya pada 15 hari bulan bagi caruman bulan sebelumnya contoh. Kadar caruman bagi Sistem Insuran Pekerjaan SIP adalah daripada 02 syer majikan dan 02 syer pekerja daripada gaji bulanan pekerja.
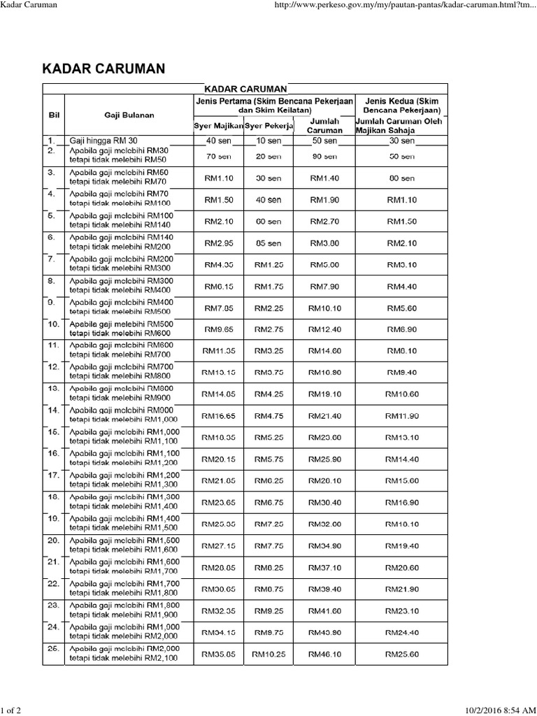
Kadar caruman adalah tertakluk kepada Jadual Kedua Seksyen 18 Akta Sistem Insurans Pekerjaan 2017. Pejabat PERKESO Negeri Sembilan Wisma PERKESO Lot 3757 Lot 52 Jalan Sg. Pekerja berusia 60 tahun ke bawah.
Ini termasuk gaji bonus elaun komisen tunggakan gaji dan bayaran untuk cuti tahunan yang tidak. Dalam pada masa yang sama semak kadar caruman eis malaysia yang disediakan. Contohnya seperti ini jika gaji pekerja berjumlah RM4000 maka SIP bernilai.
Borang tuntutan socso from wwwperkesogovmy Dan berapa majikan anda akan buat caruman ke dalam akaun socso anda setiap. Sangat mudah untuk digunakan. 25 Oktober 2021.
02 x 3000 RM 610 syer majikan 02 x 3000 RM 610 syer pekerja Jumlah RM 1220. Kadar peratusan bagi pekerja ialah sebanyak 11 yang bermaksud 11 daripada gaji akan ditolak dan dicarumkan dalam akaun EPF. Ujong 70000 Seremban Negeri Sembilan.
SOCSO Negeri Sembilan State Office Wisma PERKESO Lot 3757 Lot 52 Jalan Sg. Pembayaran Yang Mendapat Pelepasan Caruman Daripada PERKESO. Elaun-elaun insentif shif makan sara hidup perumahan dan sebagainya.
Surat Rayuan Kepada Mbsa Pengurangan Kadar Nilai Cukai. 06 - 766 9000 Faks. Bagi membantu individu yang aktif mencari pekerjaan beliau berkata kerajaan akan meneruskan pemberian.
Pembayaran di bawah tidak dianggap gaji. Pksseremban perkesogovmy Office Hour. Pembayaran oleh majikan kepada.
Contoh Surat Rayuan Penangguhan Bayaran Yuran Semester. Sebelum admin jelaskan lebih lanjut korang kena tahu. Perluasan menerusi inisiatif ini dijangka akan memberi manfaat kepada lebih 810000 pekerja termasuk golongan artis nelayan dan ejen pelancongan dengan manfaat nilai caruman sehingga 80 peratus.
Yang turut hadir Ahli Dewan Undangan Negeri ADUN Tanjong Mas Rohani Ibrahim. Jumlah caruman sebulan adalah 125 dari gaji bulanan. Contoh Surat Permohonan Caruman Lewat Bayar Perkeso Fclb.
Manakala bagi majikan pula adalah sebanyak 12. Majikan perlu menjana EIS Contribution Receipts ECR di ASSIST sebelum memulakan pembayaran. Thalia sanggup tebal muka cari dana dan penaja.
Campbell Soup Southeast Asia Sdn Bhd. 800 pagi - 500 petang Isnin - Jumaat Tel. RM610 daipada syer pekerja adalah jumlah.
Majikan yang telah berdaftar boleh membayar caruman di ASSIST. Ini bermaksud 12 daripada nilai gaji akan dibayar oleh majikan secara bulanan. Walaupun camtu ahli PERKESO yang dah menyumbang kepada PERKESO akan terus menjadi ahli walaupun gajinya dah lebih dari RM3000.
Nilai Pampasan Kemalangan Perkeso. Memastikan semua pekerja yang diambil oleh majikan langsung telah didaftarkan dan caruman mereka dibayar. Pendapatan Bulanan Bayaran Caruman Bulanan Bayaran Caruman Setahun.
Tetapi korang perlu juga dapatkan kepastian berapa peratusan yang dipotong. Sangat mudah untuk digunakan. 06 - 761 2402 06 - 761 2404 E-mail.
Cuti sakit bersalin rehat kelepasan am dan sebagainya. 15 Gambar Contoh Surat Rayuan Untuk Perkeso Terlengkap 2019. AssistperkesogovmyCara Daftar Login Guna Caruman Bayaran Online Sistem pembayaran online caruman ini dikenali dengan portal perkeso assist.
Kalau belum capai lagi nak tak nak kena gak buat caruman. 06 - 761 2402 06 -. Caruman KWSP dan PERKESO.
Kadar Bayaran Caruman EIS di Perkeso. Contoh Contoh Surat Lamaran Kerja. Berapa je korang kena carum ke PERKESO.
Bagaimana cara untuk daftar Portal Assist Perkeso. Bayaran kerja lebih masa. Bagi akaun perbankan runcit peribadi B2C had minimum bagi setiap transaksi ialah RM100 dan.
AssistperkesogovmyCara Daftar Login GunaCaruman Bayaran Online Sistem pembayaran online caruman ini dikenali dengan portal perkeso assist. Nilai cara Perkeso urus dana sebelum naikkan caruman saran NUBE Faiz Zainudin. Jika kadar caruman dikekalkan pada 11 nilai caruman adalah mengikut Jadual Caruman KWSP.
Semua majikan sektor swasta perlu membayar caruman bulanan bagi setiap pekerja. Elaun Prestasi Kerja Kedatangan dan Perjalanan. Dengan kesemua inisiatif yang dinyatakan jelaslah bahawa setiap tindakan yang dilakukan oleh pihak PERKESO sememangnya menyokong penuh Bajet 2022 yang telah dibentangkan sebelum ini.
Dalam pada masa yang sama semak kadar caruman eis malaysia yang disediakan juga oleh pihak perkeso malaysia. Pembayaran Yang Tertakluk kepada Caruman PERKESO Gaji untuk tujuan caruman merujuk kepada semua imbuhan yang perlu dibayar dalam bentuk wang oleh majikan kepada pekerja. Komisyen dan caj perkhidmatan.
Caruman PERKESO ni jadi tak wajib bila korang dah berpendapatan RM3000 ke atas. Maklumat KWSP menunjukkan jumlah caruman perlu dibayar dalam nilai Ringgit Malaysia yang terdekat dan caruman untuk bulan tertentu perlu dibayar sebelum atau pada hari ke-15 bulan itu. Prym Consumer Malaysia Sdn.
Pembayaran caruman hendaklah dibuat dengan menggunakan cek atau kiriman wang atau wang pos sahaja. Pembayaran Yang Tertakluk kepada Caruman PERKESO. Job Specializations Manufacturing Manufacturing.
25 Oktober 2021 by Farid. Bayaran cuti yang berkenaan. Dikecualikan kepada penjawat awam pekhidmat domestik dan yang bekerja.
Encik Fuad bin Alias fuadalias perkesogovmy Waktu Urusan. Party leaders called to. Dalam perkembangan sama Nora memberitahu berkata caruman Perkeso di bawah Akta Keselamatan Sosial Pekerja 1969 Akta 4 dan Caruman di bawah Akta Sistem Insurans Pekerjaan 2017 Akta 800 adalah penting bagi melindungi pekerja.
Semua saraan yang dibayar kepada anda sebagai upah adalah tertakluk kepada caruman KWSP. Ujong 70000 Seremban Negeri Sembilan. Caruman bagi skim ini ditetapkan pada kadar 125 daripada gaji.
Kaunter Pejabat PERKESO menggunakan rujukan ACR dengan data caruman dikemukakan menerusi Portal ASSIST PERKESO. Majikan yang mempunyai sekurang-kurangnya seorang pekerja atau lebih dikehendaki mendaftar dan membayar caruman setiap bulan kepada PERKESO mengikut Akta Keselamatan Sosial Pekerja 1969. Bagi warganegara Malaysia dan individu pemastautin dan bukan warganegara Malaysia yang berdaftar sebagai ahli sebelum 1 Ogos 1998 seksyen A Jadual Caruman KWSP.

Budak Bakong Jadual Caruman Perkeso 2013

Budak Bakong Jadual Caruman Perkeso 2013
Jadual Caruman Kwsp 2018 Download Jadual Potongan Kwsp Tahun 2020 Png Kwspblogs Kadar Caruman Di Bawah Jenis Ini Adalah Daripada Syer Majikan Sahaja Iaitu Sebanyak 1 25 Daripada Gaji Bulanan Pekerja
Kadar Caruman Perkeso 2018 Ssawilmor