Perkeso yang telah dicetak atau borang caruman bulanan borang 8a. UNTUK CARUMAN BULAN b b 2 0 1 t.
5 Perkara Korang Kena Tahu Tentang Perkeso Socso.
Jadual caruman gaji perkeso. Bagaimana cara membuat tuntutan kos rawatan sekiranya ditimpa. Kwsp Socso Cara Pengiraan Kadar Caruman Terkini. Majikan dikehendaki membayar caruman KWSP berdasarkan jadual ini.
Jadual pembayaran perkeso 2021 Jadual Caruman SIP Perkeso 2021 Untuk kadar caruman melalui sistem insurans. BIL GAJI BULANAN SAHAJA SYER MAJIKAN SYER PEKERJA JUMLAH CARUMAN JUMLAH CARUMAN OLEH MAJIKAN SAHAJA RM RM RM RM RM 1. Alami proses yang mudah untuk membuat bayaran caruman kwsp.
Kadar caruman bagi Sistem Insuran Pekerjaan SIP adalah daripada 02 syer majikan dan 02 syer pekerja daripada gaji bulanan pekerja. Semua pembayaran sama ada mengikut jam harian mingguan bulanan hasil kerja adalah dianggap gaji. Semua majikan sektor swasta perlu membayar caruman bulanan bagi setiap pekerja.
BORANG PERTUBUHAN KESELAMATAN SOSIAL JADUAL CARUMAN BULANAN 8A Bayaran Tunai. Sedia maklum kadar caruman bagi Sistem Insuran Pekerjaan SIP adalah daripada 02 syer majikan dan 02 syer pekerja daripada gaji bulanan pekerja. Kadar caruman adalah tertakluk kepada Jadual Kedua Seksyen 18 Akta Sistem Insurans Pekerjaan 2017.
The eligibility for invalidity pension for Social. Jumlah caruman sebulan adalah 125 dari gaji bulanan. Majikan Tak Boleh Sewenang Wenangnya Buat Caruman Perkeso Korang Tanpa Ikut 2 Panduan Ini.
Kadar Caruman Sip Jadual Eis Perkeso Untuk Gaji Rm1750. Kadar Caruman Sip Jadual Eis Perkeso Untuk Gaji Rm1750. Contohnya jika gaji melebihi RM1400 tetapi tidak melebihi RM1500 kadar caruman sebanyak RM326 sebulan.
Admin August 9 2020. Jadual Caruman SIP PERKESO 2021 Kadar Berikut dikongsikan maklumat berkaitan jadual caruman SIP PERKESO tahun 2021 termasuk kadar tarikh bayaran dan semakan caruman EIS. Epf berbentuk caruman kewangan yang dipotong daripada gaji.
Jun 16 2021 contoh membuat. Kadar caruman bulanan bagi syer majikan dan syer pekerja. Untuk kadar caruman melalui sistem insurans pekerjaan sip atau eis juga perlu dibayar yang mana ia ditentukan kepada peratusan yang perlu pekerja dan majikan bayar setiap bulan kepada perkeso untuk tahun 2021 sepertimana udang-undang baru di Jadual Kedua Seksyen 18 Akta Sistem Insurans Pekerjaan 2017.
Walau bagaimanapun pembayaran-pembayaran berikut tidak dianggap sebagai gaji iaitu. Sesetengah slip gaji akan memaparkan no perkeso untuk rujukan pekerja dan. A company must remit the contribution sum to Perkeso Office before the end of the Asked Questions FAQs Contribution Table Rates Jadual Caruman SOCSO MALACCA 7 March.
Insurans ini yang dikawal oleh Employment Insurance System Act 2017 dan juga ditadbir oleh SIP SOCSO melindungi pekerja berusia antara 18 hingga 60 tahun yang kehilangan pekerjaan tamat kontrak kecuali dalam kes. Kadar Caruman SIP 2021 Perkeso Malaysia. Pembayaran oleh majikan kepada tabung kumpulan wang pencen atau kumpulan wang simpanan Pembayaran ke atas tuntutan perjalanan Pembayaran ke atas persaraan.
Https Eiscentre Perkeso Gov My Wp Content Uploads 2019 10 Pekeliling Majikan Edaran Majikan 1 Pdf. Contribution Table Rates Jadual Caruman SOCSO A company is required to contribute SOCSO for its staffworkers according to the SOCSO Contribution Table Rates as determined by the Act. Jadi merujuk kepada kadar caruman Skim Bencana Pekerjaan dan Skim Keilatan majikan tolak daripada gaji anda untuk buat caruman socso pekerja.
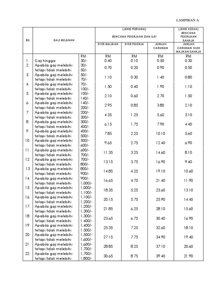
Gaji hingga 30- 040 010 050 030 2. Eis Perkeso Malaysia How To Calculate The Eis Contribution Part 2 Of 3. Kadar Caruman Sip Jadual Eis Perkeso Untuk Gaji Rm1750.
Apabila gaji melebihi RM30 tetapi tidak melebihi RM50. The company will pay 175 while the staffworkers will contribute 05 of their wages for the Employment Injury Insurance Scheme and the Invalidity Pension Scheme. Jadual Caruman Perkeso 2018 Muat Turun Jadual Caruman Perkeso My Quotes A Apa Itu Caruman Perkeso Dan Apakah Faedahnya.
Apabila gaji melebihi RM4000 RM3950 Kadar caruman Gaji bulanan Caruman Majikan Caruman Pekerja Jumlah Gaji hingga RM30 5 sen 5 sen 10 sen Apabila gaji melebihi RM30 tetapi tidak melebihi RM50 10 sen 10 sen 20 sen Apabila gaji melebihi RM50 tetapi tidak melebihi RM70 15 sen 15 sen 30 sen Apabila gaji melebihi RM70 tetapi tidak melebihi. You can also bookmark this page with the. Kadar Caruman Bulanan Jadual Ketiga Kadar caruman bagi majikan dan pekerja terkini yang berkuat kuasa mulai gaji upah Januari 2021 boleh dirujuk di dalam Jadual Ketiga Akta KWSP 1991.
You have just read the article entitled Kadar Caruman Perkeso 2019. Gaji Bersih Gaji Pokok KWSP Perkeso SIP. Cara Pengiraan Kadar Caruman Kwsp Socso 2019.
Pindaan Jadual Ketiga Jadual Caruman pdf JADUAL. CONTOH PENGIRAAN KADAR CARUMAN. Sip prihatin adalah satu inisiatif bantuan kewangan segera untuk membantu pekerja.
Kadar caruman pekerja adalah berdasarkan kepada gaji pekerja iaitu termasuk upah kerja lebih masa komisen dan caj perkhidmatan bayaran cuti tahun sakit bersalin rehat kelepasan am elaun insentif sara hidup dan sebagainya. Kadar caruman bagi pekerja dan majikan yang terkini boleh dirujuk di dalam Jadual Ketiga Akta KWSP. Apabila gaji melebihi 70- tetapi tidak melebihi 100- 150 040 190.
Jadual Caruman Sip Perkeso Bahagian D 1 Kadar Caruman Bulanan Yang Dinyatakan Dalam Bahagian Ini Hendaklah Terpakai Bagi Pekerja Bukan Warganegara Malaysia Strehinch. Jadi untuk dapatkan penolakan KWSP Perkeso SIP anda perlu semak dalam jadual atas. Semua pembayaran sama ada mengikut jam harian mingguan bulanan hasil kerja adalah dianggap gaji.
JADUAL CARUMAN PERKESO 2014 PDF. Berikut adalah cara kira potongan socso sebagai contoh anda berumur 61 tahun menerima gaji dan pendapatan setiap bulan daripada majikan anda sebanyak RM1750 sebulan. Berikut adalah dokumen yang perlu dihantar ke kaunter perkeso.
Apabila gaji melebihi 50- tetapi tidak melebihi 70- 110 030 140 080 4. Malaysiakini Ksm Kaji Keperluan Naik Kadar Caruman Perkeso Tanpa Bebankan Rakyat. Maka jumlah wang yang akan ditolak daripada gaji hanyalah rm5 daripada syer pekerja.
Kadar Caruman Sip Jadual Eis Perkeso Untuk Gaji Rm1750. What Is Eis Perkeso. Cara Pengiraan Caruman Perkeso.
Menteri 50 Tahun Kadar Sama. Majikan dikehendaki menggunakan Jadual ketiga seperti berikut bagi caruman yang lewat dibayar mengikut tarikh kuat kuasa pada waktu. Dikecualikan kepada penjawat awam pekhidmat domestik dan yang bekerja.
Kadar Caruman Sistem Insurans Pekerjaan Akta 800 Formula Kira Gaji Bulanan. Kadar caruman ditentukan berdasarkan gaji bulanan. Perkeso hilang pekerjaan eis perkeso 2 Berikut table caruman socso untuk gaji di bawah RM2100 sebulan 3 Untuk gaji di bawah RM3600 setiap bulan 4 Jadual potongan perkeso untuk gaji di bawah RM4000 setiap bulan BACA SINI.
Jumlah gaji RM135000 Caruman yang perlu dibayar kepada PERKESO adalah sebanyak RM3040 Rujuk Lampiran A - Jadual Caruman. Majikan pekerja asing yang tidak menyumbang caruman pertubuhan keselamatan sosial perkeso perlu mencari cara untuk membayar ujian saringan. Kadar Caruman Sip Jadual Eis Perkeso Untuk Gaji Rm1750.
Pada 1 Januari 2018 PERKESO memperkenalkan portal EIS PERKESO untuk membantu majikan menguruskan rekod mereka mengemas kini dan membuat caruman. Peperiksaan sijil pelajaran malaysia spm akan diadakan pada setiap hujung tahun penggal persekolahan. Kadar dan jadual caruman untuk sip socso oleh pekerja dan majikan di.
Kadar caruman sip jadual eis perkeso untuk gaji rm1750 download jadual ketiga jadual caruman kwsp 2020 pdf png. Gaji Pokok RM1200. Kadar Caruman Sip Jadual Eis Perkeso Untuk Gaji Rm1750.
Kadar Caruman Sip 2019 Perkeso Sip Confirmation Sebagai Pekerja Di Malaysia Anda Sebenarnya Ada Hak Untuk Menikmati Caruman Kwsp Online Setiap Bulan Dan Juga Caruman Socso. Gaji hingga RM 30. Apabila gaji melebihi 30- tetapi tidak melebihi 50- 070 020 090 050 3.

Tarikh Bayaran Faedah Perkeso 2021 Jadual Bulanan Socso

Semakan Online Permohonan Subsidi Upah Perkeso Cara Media

Jadual Tarikh Pembayaran Faedah Bulanan Perkeso Tahun 2018
Socso Contribution Schedule Jadual Caruman Pdf
