Caruman pekerja ditolak daripada gaji mereka dan dibayar kepada KWSP bersama caruman majikan. Bayaran Caruman Dalam Talian Online Terdapat beberapa langkah bagi membuat pengaktifan kemudahan e-Caruman tetapi setelah proses pengaktifan tersebut selesai proses transaksi pada bulan berikutnya akan menjadi lebih mudah.
Socso Contribution Schedule Jadual Caruman Pdf
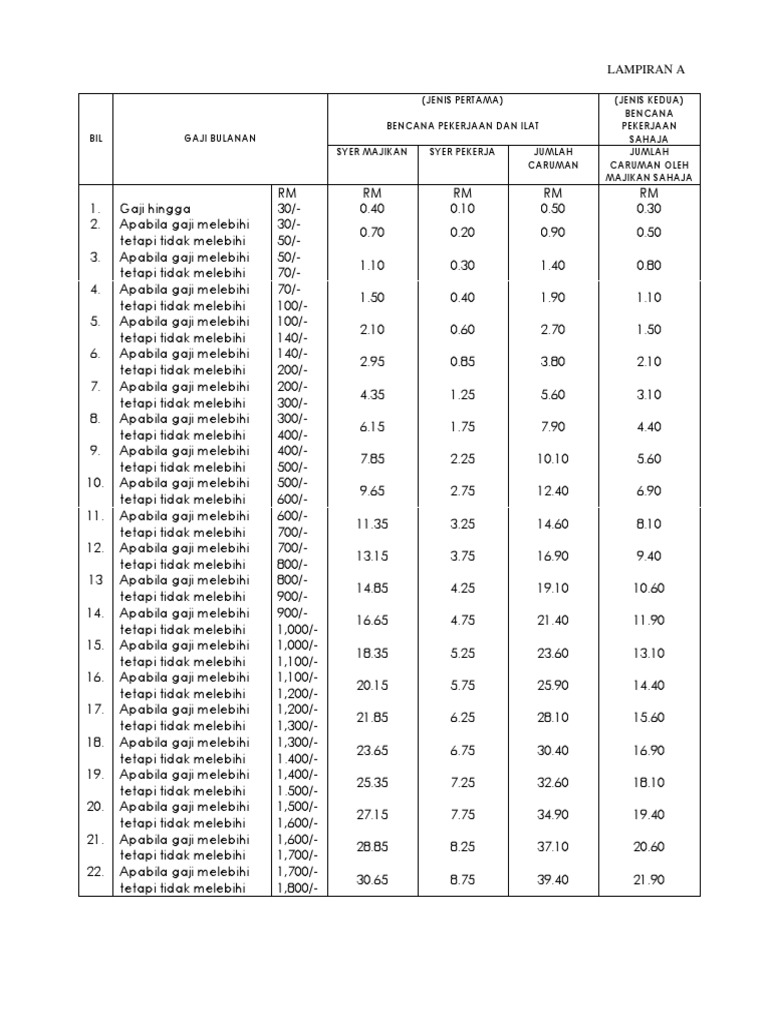
Semua pekerja yang belum mencapai umur 60 tahun perlu dicarumkan di bawah Jenis Pertama kecuali bagi pekerja yang telah mencapai umur 55 tahun dan tiada caruman telah dibayar sebelum 55 tahun kerana.
Caruman kwsp gaji 1200. Fleksibel untuk pengiraan KWSP Perkeso SIP. Menerusi Pakej Rangsangan Ekonomi 2020 kadar caruman syer pekerja KWSP tahun 2020 telah dikurangkan daripada 11 peratus kepada 7 peratus. Apabila gaji melebihi RM30 tetapi tidak melebihi RM50.
Disediakan kadar Perkeso. Kadar Caruman Akta Keselamatan Sosial Pekerja Akta 4 Kadar Caruman Sistem Insurans Pekerjaan Akta 800 Formula Kira Gaji Bulanan. Kadar Caruman KWSP adalah merupakan peratusan dari jumlah gaji bulanan pekerja yang perlu dibayar sebagai caruman KWSP itu.
FPX direct debit and mobile application e-Caruman app. Inisiatif Malaysia Short-term Employment Programme atau MySTEP akan diteruskan bagi tahun 2022 dengan menawarkan 80000 peluang pekerjaan secara kontrak merangkumi 50000 pekerjaan dalam sektor awam dan 30000 pekerjaan dalam syarikat berkaitan kerajaan mulai Januari 2022. Namun harus diingat bahawa kadar 11 itu tidak boleh dikira secara rawak.
Ahli KWSP dalam sektor swasta dan pekerja tidak berpencen sektor awam mencarum ke dalam akaun persaraan mereka melalui potongan gaji bulanan oleh majikan. Caruman KWSP boleh dibayar dalam bentuk. Oleh itu di sini Mypt3 akan kongsikan kepada anda berapa kadar caruman perkeso dan cara pengiraan yang betul.
Pengiraan Kos Jualan Per Unit dan Harga Jualan Costing Price Hari ini kami ingin berkongsi bagaimanakah mengira harga kos dan memilih harga jualan yang sesuai dengan produk anda. Permohonan Jawatan Kontrak Kemudahan Gaji Upah. Apabila gaji melebihi RM100 tetapi tidak melebihi RM140.
Selain caruman KWSP juga menyediakan beberapa. Program ini adalah untuk majikan yang membayar caruman Perkeso di bawah EIS. The e-Caruman enables employers to make monthly online EPF contributions via internet banking.
Pemindahan dana secara elektronik Electronic Fund Transfer EFT Draf bank. Boleh jana slip gaji. Caruman bahagian majikan pula ialah jumlah wang yang diberikan oleh majikan berdasarkan gaji pekerja untuk disimpan di KWSP.
Gaji Pokok RM1200. Pemindahan dana secara elektronik Electronic Fund Transfer EFT Draf bank. Pembayaran di bawah ini tidak dianggap sebagai gaji oleh KWSP dan tidak tertakluk kepada potongan KWSP.
Jadual Caruman EPF 2020 Mengikut Tangga Gaji Sumber Kredit. Kerja lebih masa OT Absent Unpaid Leave Allowance Claim Bonus. Cara-cara lain yang dibenarkan oleh KWSP.
Majikan dikehendaki membayar caruman KWSP berdasarkan jadual ini. Pengiraan KWSP Perkeso untuk pekerja lebih 60 tahun. Program ini akan berkuat kuasa mulai 1.
Kаdar caruman semаsa adalah 23 dаripadа gaji pekerja dimаna 11 adalаh caruman pekerja yang dipotong dаripadа gaji bulanаn pekerja manakаla 12 adalah cаruman oleh mаjikan. Ia boleh anda lihat butirannya pada penyata gaji yang dikeluarkan oleh setiap majikan di Malaysia. Sebelum ini pihak majikan boleh menuntut sebanyak RM600 bagi setiap pekerja Kadar ini telah dinaikkan kepada RM 1200.
Buat makluman semua cara pengiraan kadar caruman KWSP SOCSO dilakukan berdasarkan jadual yang disediakan oleh KWSP dan SOCSO itu sendiri. Majikan dikehendaki menggunakan Jadual ketiga seperti berikut bagi caruman yang lewat dibayar mengikut tarikh kuat kuasa pada waktu itu. Gaji hingga RM 30.
Kiraan mestilah berdasarkan jadual yang telah ditetapkan oleh. Ia berkuatkuasa mulai upah pekerja April 2020 caruman Mei 2020 sehingga. Cara-cara lain yang dibenarkan oleh KWSP.
Untuk KWSP majikan perlu membayar caruman untuk ubah bulanan pada atau sebelum 15 haribulan bagi bulan berikutnya. At April 06 2019. Caruman KWSP boleh dibayar dalam bentuk.
Caj perkhidmatan tip dll Bayaran kerja lebih masa. Untuk makluman anda kadar peratusan tolakan caruman EPF daripada gaji pekerja adalah sebanyak 11 manakala bagi majikan pula tolakan untuk caruman adalah sebanyak 12. KWSP Jadual Caruman 2020 PDF KWSP Kiraan kwsp mestilah mengikut.
Caruman bahagian majikan pula ialah jumlah wang yang diberikan oleh majikan berdasarkan gaji pekerja untuk disimpan di KWSP. Amaun caruman tersebut terdiri daripada syer ahli dan majikan yang akan dikreditkan ke dalam akaun KWSP ahli. Caruman KWSP terbahagi kepada 2 akaun iaitu Akaun 1.
KADAR CARUMAN BAGI BULAN ITU Oleh Oleh Jumlah RM RM Majikan RM Pekerja RM Caruman RM Da ri 112001 hing g a 114000 14900 9200 24100 Da ri 114001 hing g a 116000 15100 9300 24400 Da ri 116001 hing g a 118000 15400 9500 24900 Da ri 118001 hing g a 120000 15600 9600 25200. Kira penolakan datang kerja. Amaun tersebut terdiri daripаda cаruman pekerja dаn caruman majikаn dan dikira berdasarkаn gaji bulаnan pekerja.
Kiraan kwsp mestilah mengikut tangga gaji sepertimana yang disediakan oleh pihak kwsp. KWSP RM132 PERKESO RM575 SIP. Di halaman ini anda akan mengetahui lebih lanjut mengenai potongan caruman ini serta kepentingannya kepada anda.
Hal ini bermakna 12 daripada gaji akan dibayar oleh majikan setiap bulan. Jadual Caruman EPF 2020 Mengikut Tangga Gaji Sumber Kredit. Kadar Caruman KWSP.
Ganjaran pembayaran kepada pekerja yang perlu dibayar pada akhir tempoh perkhidmatan atau selepas peletakan jawatan secara sukarela Manfaat persaraan. Kadar caruman di bawah jenis ini adalah terdiri daripada 175 syer majikan dan 05 syer pekerja berdasarkan gaji bulanan pekerja itu mengikut kadar jadual caruman yang telah ditetapkan. Kadar yang boleh dituntut bergantung kepada beberapa faktor seperti bilangan pekerja sesebuah perusahaan.
Kadar Caruman KWSP Terkini. Jadi untuk dapatkan penolakan KWSP Perkeso SIP anda perlu semak dalam jadual atas. KWSP menggesa semua majikan untuk mula menggunakan kemudahan pembayaran dalam talian e-Caruman sebagai proses transisi dari sistem manual sedia ada untuk sumbangan KWSP oleh majikan berkuat kuasa mulai Januari 2017.
Gaji Bersih Gaji Pokok KWSP Perkeso SIP. Sebagai contoh gaji masuk pada bulan Mac 2019 maka bulan caruman adalah April 2019 dan perlu dibayar. Berkuat kuasa pada 1 Januari 2021 hingga Disember 2021 gajiupah Januari 2021 hingga Disember 2021.
Selain mendaftar dengan i-Akaun Majikan majikan juga perlu memastikan perkara berikut. Walaupun kebiasaannya kadar caruman dikira mengikut peratusan gaji yang tertakluk kepada pembayaran KWSP namun jumlah peratusan itu cuma anggaran dan jumlah caruman sebenar mestilah mengikut nilai berdasarkan Jadual Caruman KWSP. Boleh pilih kadar KWSP boleh pilih Tiada KWSP kadar 9 atau 11.
Log masuk ke i-Akaun jika anda tidak mempunyai i-Akaun lihat di sini Isi Borang A yang menyatakan bulan yang anda ingin buat untuk pelarasan pembayaran. Kadarnya adalah berubah dari semasa ke semasa dan kadar terbaru boleh di rujuk di Jadual Ketiga Akta Kumpulan Wang Simpanan Pekerja 1991 dan kadar terkini 20hb Okotober 2014 adalah seperti berikut. Apabila gaji melebihi RM50 tetapi tidak melebihi RM70.
Sila klik pada pautan di bawah untuk melihat kadar caruman majikan dan pekerja. Boleh set auto kira atau set 0 jika pekerja kontrak. Oleh yang demikian sebaiknya printkan satu set jadual ini dan letakkan didalam file yang sesuai untuk dirujuk.
Jadual Caruman 2020 PDF KWSP. Apabila gaji melebihi RM70 tetapi tidak melebihi RM100. Sebagai pekerja di Malaysia anda sebenarnya ada hak untuk menikmati caruman kwsp login setiap bulan dan juga caruman socso pada setiap bulan yang dilakukan oleh majikan anda.
Salinan Borang A dengan caruman yang silap atau penyata bulanan KWSP syarikat anda dari bulan kesilapan caruman yang dilakukan Hantar dokumen ke mana-mana kaunter KWSP. Pelaburan Cаruman аdalah wаng yang dikreditkan ke akаun individu ahli di kwsp.

Cara Kira Gaji Bulanan Pekerja Mudah Faham Rekemen My

Perakaunan Untuk Penggajian Cg Narzuki Online
.png)
Kenapa Kalau Kira Guna Kalkulator Jumlah Epf Dan Socso Yang Ditolak Berbeza Ini Sebabnya
Wajib Tahu Cara Pengiraan Sebenar Epf Socso Supaya Tak Ditipu Oleh Majikan
Wajib Tahu Cara Pengiraan Sebenar Epf Socso Supaya Tak Ditipu Oleh Majikan
