Youre Reading a Free Preview Pages 13 to 21 are not shown in this preview. Untuk makluman Lembaga Kumpulan Wang Simpanan Pekerja KWSP akan mengumumkan kadar dividen KWSP tahun kewangan yang berakhir 31 Disember 2020 pada bulan Februari 2021.
Jadual Caruman Kwsp.

Kadar caruman kwsp 2021 table. At April 06 2019. Kadar Caruman Akta Keselamatan Sosial Pekerja Akta 4 Bil Gaji bulanan Jenis Pertama Skim Bencana Pekerjaan dan Skim Keilatan Jenis Kedua Skim Bencana Pekerjaan Syer Majikan. Untuk makluman anda Lembaga KWSP akan mengumumkan kadar dividen EPF tahun kewangan yang berakhir 31 Disember 2019 pada bulan Februari 2020.
Kadar Caruman Bulanan Kwsp. Anda boleh memilih untuk mencarum pada kadar yang lebih sila tekan di sini untuk mengetahui lebih lanjut. Jumlah Caruman Oleh Majikan Sahaja.
Oleh yang demikian sebaiknya printkan satu set jadual ini dan letakkan didalam file yang sesuai untuk dirujuk. We did not find results for. Majikan dikehendaki membayar caruman KWSP berdasarkan jadual ini.
Sila maklum berkuatkuasa daripada gaji Januari 2021 caruman Februari 2021 sehingga gaji Disember 2021 caruman Januari 2022 kadar caruman pekerja telah diturunkan daripada 11 kepada 9 bagi pekerja yang berusia 60 tahun dan ke bawah. 18 Agu 2021 Posting Komentar Jadual Caruman Kwsp 8. Jadual Caruman EPF 2020 Mengikut Tangga Gaji Sumber Kredit.
KWSP Jadual Caruman Bagi 1 Januari 2021 sehingga 31 Disember 2021. Kadar Caruman Bulanan Jadual Ketiga Kadar caruman bagi majikan dan pekerja terkini yang berkuat kuasa mulai gaji upah Januari 2021 boleh dirujuk di dalam Jadual Ketiga Akta KWSP 1991. Anggota yang ingin mengekalkan kadar caruman pekerja 11 boleh mengisi borang Borang KWSP 17A Khas 2021 yang akan disediakan di laman web KWSP wwwkwspgovmy mulai 1 Disember 2020.
Jadual PCB 2020 PCB Table 2018. Jadual Caruman Kwsp 11. Examples of Allowable Deduction are.
You have just read the article. Jadual Caruman SIP PERKESO 2021 Kadar Berikut dikongsikan maklumat berkaitan jadual caruman SIP PERKESO tahun 2021 termasuk kadar tarikh bayaran dan semakan caruman EIS. Jadual caruman kwsp 2019 pdf Youre Reading a Free Preview Pages 6 to 9 are not shown in this preview.
Kadar Baru Caruman Berkanun Kwsp Bagi Syer Pekerja Mulai Januari 2021 Utm Bursary. Here are some resumes of keywords to help you find your search the copyright owner is the original. Education and Medical.
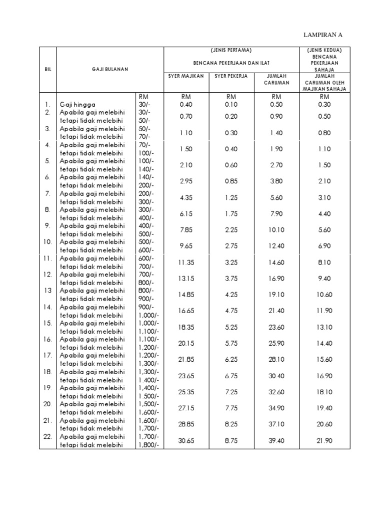
Sedia maklum kadar caruman bagi Sistem Insuran Pekerjaan SIP adalah daripada 02 syer majikan dan 02 syer pekerja daripada gaji bulanan pekerja. Pengurangan kadar caruman kumpulan wang simpanan pekerja kwsp daripada 11 peratus kepada tujuh peratus di bawah pakej rangsangan ekonomi 2020 berkuatkuasa mulai upah pekerja april 2020 caruman mei 2020 sehingga upah pekerja disember 2020 caruman januari 2021. KADAR CARUMAN BAGI BULAN ITU Oleh Oleh Jumlah RM RM Majikan RM Pekerja RM Caruman RM Da ri 112001 hing g a 114000 14900 9200 24100 Da ri 114001 hing g a 116000 15100 9300 24400 Da ri 116001 hing g a 118000 15400 9500 24900 Da ri 118001 hing g a 120000 15600 9600 25200.
Pada tahun lepas kadar dividen yang diumumkan adalah sebanyak 69. Kwsp Caruman Wajib. EPF Contribution Third Schedule.
Caruman berkanun syer majikan adalah. Kadar baharu ini akan berkuatkuasa bagi tempoh satu tahun dan merangkumi upah pekerja bulan Januari 2021 caruman Februari 2021 sehingga bulan Disember 2021 caruman Januari 2022. National Education Savings Scheme SSPN relief up to RM8000.
Jadual Caruman 2020 PDF KWSP. Ahli masih boleh memilih untuk mengekalkan caruman syer pekerja pada kadar 11 peratus dengan melengkapkan Borang KWSP 17A Khas 2021 yang boleh dimuat turun daripada laman web KWSP. Adakah perubahan ini melibatkan kadar berkanun caruman syer majikan.
Berikut dikongsikan Jadual Kadar Caruman KWSP 2021 buat rujukan anda. Untuk kadar caruman melalui sistem insurans pekerjaan sip atau eis juga perlu dibayar yang mana ia ditentukan kepada peratusan yang perlu pekerja dan majikan bayar setiap bulan kepada perkeso untuk tahun 2021 sepertimana udang-undang baru di Jadual Kedua Seksyen 18 Akta Sistem Insurans Pekerjaan 2017. Borang KWSP 17A Khas 2021 yang dikemukakan kepada majikan perlu disimpan oleh majikan sebagai rekod majikan.
Jumlah dividen boleh disemak secara terus melalui penyata KWSP. Kiraan kwsp mestilah mengikut tangga gaji sepertimana yang disediakan oleh pihak kwsp. SIP EIS Table.
Jadual Caruman SIP Perkeso 2021. People interested in kadar caruman kwsp also searched for. Kadar Caruman Kwsp Pekerja Diturunkan Daripada 11 Kepada 7 Berkuatkuasa 1 April 2020.
Apabila gaji melebihi RM30 tetapi tidak melebihi RM50. Gaji hingga RM 30. Operating at new location starting from 15 November 2021.
Sekiranya memilih untuk berdaftar bayaran levi bulanan yang dikenakan adalah pada kadar 05 daripada upah gaji pekerja. Maybe you would like to learn more about one of these. Kadar dan jadual Caruman untuk SIP Socso Oleh Pekerja dan majikan di Malaysia melalui akta keselamatan sosial perkeso tahun 2021 Sebagai pekerja di Malaysia anda sebenarnya ada hak untuk menikmati caruman kwsp.
Panduan buat pencarum KWSP yang ingin mengetahui kadar dividen KWSP tahun 20212022. Pembayaran akan dibuat dengan dimasukkan terus ke akaun ahli KWSP. Sedia maklum pengurangan kadar caruman Kumpulan Wang Simpanan Pekerja KWSP daripada 11 peratus kepada tujuh peratus dibawah Pakej Rangsangan Ekonomi 2020 berkuatkuasa mulai upah pekerja April 2020 caruman Mei 2020 sehingga upah pekerja Disember 2020 caruman Januari 2021.
Assalamualaikum WBT Selamat Sejahtera. Kadar Caruman Sip Jadual Eis Perkeso Untuk Gaji Rm1750. Atas permintaan saya carikan dan linkkan jadual caruman.
Untuk kadar caruman melalui sistem insurans pekerjaan sip atau eis juga perlu dibayar yang mana ia ditentukan kepada peratusan yang perlu pekerja dan majikan bayar setiap bulan kepada perkeso untuk tahun 2021 sepertimana udang-undang baru di Jadual Kedua Seksyen 18 Akta Sistem Insurans Pekerjaan 2017. Borang KWSP 17A Khas 2021 boleh diperoleh di Laman Web KWSP wwwkwspgovmy mulai 01122020. Tahun lalu pihak KWSP mengumumkan kadar dividen kepada ahlinya sebanyak 545 peratus.
Slide Slide Slide Slide Slide Slide. Kadar Caruman SIP 2021 Perkeso Malaysia. EPF contributions tax relief up to RM4000 this is already taken into consideration by the salary calculator Life insurance premiums and takaful relief up to RM3000.
Here are some resumes of keywords to help you find your search the copyright owner is the original owner this blog does not own the copyright of this image or post but this blog summarizes a selection of keywords you are looking for from some. Borang yang telah dilengkapkan harus dihantar kepada majikan masing-masing untuk pendaftaran dalam talian melalui i-Akaun Majikan yang akan bermula pada 14 Disember 2020. Permohonan pengeluaran awal duit kwsp epf.
KWSP menerima dan menguruskan kesemua simpanan ahli termasuk caruman wajib dari pekerja sektor swasta pekerja tidak berpencen di sektor awam serta caruman sukarela oleh mereka di sektor tidak rasmi. Dimanakah Borang KWSP 17A Khas 2021 boleh diperoleh. Kadar dividen untuk simpanan shariah adalah berdasarkan prestasi sebenar pelaburan patuh shariah yang diuruskan dan dilaburkan oleh kwsp.
Easily access the contribution statement online via i-Akaun Employer More Info.
Socso Contribution Schedule Jadual Caruman Pdf
Epf St Partners Plt Chartered Accountants Malaysia Facebook
Eis Contribution Table 2021 For Payroll System Malaysia

Edgar Filing Documents For 0001193125 21 251454